乐发vll

cctv.央视访谈企业一航天级研发基地

首页 产品 案例 我们
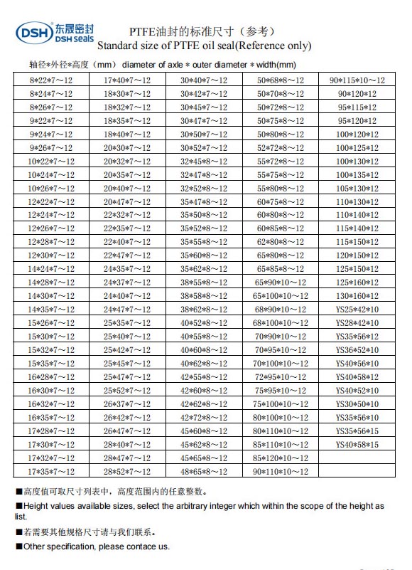
密封圈规格尺寸表
PTFE油封标准尺寸
来源: 东晟密封 发布日期: 2021-06-09

推荐资讯